速度的定义式
的有关信息介绍如下:
速度 [sù dù] ——物理量
物理学中用速度来表示物体运动的快慢和方向。速度在数值上等于物体运动的位移跟发生这段位移所用的时间的比值。速度的计算公式为v=Δx/Δt。国际单位制中速度的单位是米每秒
中文名: 速度
外文名: velocity
常用描述: 大,小
计算公式: v=Δx/Δt
矢量性: 矢量
国际单位: ms-1或m/s
表示方式: v
性 质: 具有矢量性、相对性、瞬时性,是描述质点运动的状态参量。
定义
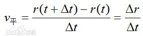
速度 (velocity) 表征动点在某瞬时运动快慢和运动方向的矢量。在最简单的匀速直线运动中,速度的大小等于单位时间内经过的路程。速度的常用单位有:厘米/秒,米/秒,千米/小时等。速度的大小也称速率。动点Q作一般空间运动时,位移Δr和所用时间Δt的比,称为Δt时间内的平均速度,记为v平,




