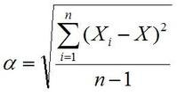
您的位置首页百科问答 EXCEl中函数stdev引用公式是哪个具体什么意思? Simone 发布于 2026-04-03 19:18:47 810 阅读 EXCEl中函数stdev引用公式是哪个具体什么意思?的有关信息介绍如下:引用的是标准差(Standard Deviation),定义为方差的算术平方根,反映组内个体间的离散程度。简单来说,标准差是一组数据平均值分散程度的一种度量。一个较大的标准差,代表大部分数值和其平均值之间差异较大;一个较小的标准差,代表这些数值较接近平均值。