2023浙江公务员考试行测-公式在手,行测多次独立重复试验不再愁
的有关信息介绍如下:概率问题是行测数量关系中常见考点之一,很多同学在备考时会觉得难理解,无从下手。今天,中公教育带领大家学习一种相对容易的概率问题——多次独立重复试验,只要识别题型、掌握其公式,代入公式求解即可。
示例:射击运动员每次射击命中10环的概率都是80%,不受其他因素影响,5次射击有4次命中10环的概率是多少?
在例题中,射击训练共5次,并且每次射击结果互不影响,最终只有命中和没命中两种情况。这就是多次独立重复试验,这类题三个特点:
1.试验在相同条件下多次重复进行(≥2次);
2.每次试验之间结果互不影响;
3.每次试验时,A事件要么发生,要么不发生,且A事件每次发生的概率相同。
在例题中,5次射击有4次命中10环,首先需要从5次里任意选择4次命中10环,顺序对结果没有影响,所以为

每次射击命中10环的概率为0.8,每次射击是否命中互不影响,因此命中4次10环的概率为

总共5次,命中4次10环,还有1次不是10环,概率为1-0.8=0.2,共1次,概率为

必须完成5次射击,则上述过程为分步过程,最终结果为

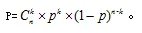
公式总结:某试验独立重复n次,其中A事件要么发生,要么不发生,且A事件每一次发生的概率均为p,则在n次试验中A事件发生k次的概率为:

植树节期间,某单位购进一批树苗,在林场工人的指导下组织员工植树造林。假设树苗的成活率为50%,那么,该单位职工小张种植5棵树苗,至少成活4棵的概率是多少?

【答案】C。中公解析:每棵树是否成活互不影响,且只有成活和不成活两种情况,每棵树木成活概率均为50%,符合多次独立重复试验模型,事件A为树木成活。5棵树至少成活4棵可以分为两种情况:

某次乒乓球比赛中采取五局三胜,小王和小张进行一场比赛,比赛中小王每一局比赛获胜的概率均为0.6,则小王在这次比赛中最终获胜的概率约是多少?
A.30%—40% B.40%—50% C.50%—60% D.60%—70%
【答案】D。中公解析:每局比赛是否获胜互不影响,且只有获胜和不获胜两种情况,每局获胜概率均为0.6,符合多次独立重复试验模型,事件A为小王获胜。由于比赛的特殊性,小王在获取三局胜利后比赛结束,故最后一局必然为小王获胜。最终小王获胜可分成三种情况:

因为共分了3类,为分类过程,则小王获胜的概率为21.6%+25.92%+20.736%=68.256%,故本题选择D。
通过上述讲解,大家对于多次独立重复试验公式的应用环境有所了解,但一定要注意分局比赛时的决胜局,中公教育建议大家在备考期间多多练习,做到真正熟练掌握此类题目。
浙江中公教育为了帮助大家更好备考2023浙江省考,准备了一系列的备考活动哦~汇总之后方便大家查看



