面与面相交得到什么线与线相交得到什么
的有关信息介绍如下:面与面相交得到线,线与线相交得到点。
欧几里得几何中,同一平面上的两个圆之间的关系有四种:相离、相切、相容和相交。相离指两圆没有交点而且没有一个圆在另一个圆内部。相切是指两圆只有一个交点。相交是指两圆有多于一个交点。相容是指两圆没有交点且一个圆在另一个内部。
两个圆相交当且仅当两个圆心之间的距离严格小于两圆的半径之和,并严格大于两圆的半径之差。

扩展资料:
在两个相交平面的交线上任取一点,经过此点在两个平面内作交线的垂线,二垂线所夹的锐角成为两平面的倾角。在两相交平面之一内作直线与交线成直角,当此直线与另一平面成直角时,则称两平面相交成直角 。
两平面的交角是刻画相交二平面位置关系的一个数。在空间直角坐标系中,两平面:


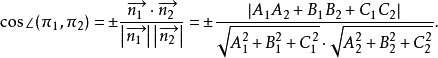
相交所成二面角用∠(π1,π2)来表示,两平面的法向量

和

的交角设为θ=∠(

),则有∠(π1,π2)=θ或π-θ,故 :

设两平面

的方程分别为:


其法线向量分别为

和

。
三维上来说,
两个平面,
只要不相互平行,
相交,即可得到一条直线。
线线相交,
如果是二维上来说,
只要两直线不平行,
就有一个焦点。
如果是三维上来说,
则,还有可能异面相交。
即无焦点,但是投影相交。
望采纳!!!



