组合图形的面积
的有关信息介绍如下:1、分割法
把一个组合图形根据它的特征和已知条件分割成几个简单的规则图形,分别算出各个图形的面积,最后求出它们的面积的和。
2、旋转法
把原图形进行一次或多次旋转,使它变成我们所熟悉的新图形,然后再进行计算。

3、割补法
把图形的某一部分割下来补到另一部分上,使它变成一个我们已学过的几何图形,然后再进行计算。
4、挖空法
把多边形看成是一个完整的规则图形,计算它的面积以后,再减去空缺部分的面积。
5、折叠法
把组合图形折成几个完全相同的图形。,先求出一个图形的面积,再求几个图形的面积之和。
扩展资料:
部分简单图形的面积公式:
1,长方形(矩形):

{长方形面积=长×宽}
2,正方形:

{正方形面积=边长×边长}
3,平行四边形:

{平行四边形面积=底×高}
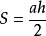
4,三角形:

{三角形面积=底×高÷2}
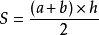
5,梯形:

{梯形面积=(上底+下底)×高÷2}
6,圆形(正圆):

{圆形(正圆)面积=圆周率×半径×半径}
7,圆环:

{圆形(外环)面积={圆周率×(外环半径^2-内环半径^2)}
8,扇形:

{圆形(扇形)面积=圆周率×半径×半径×扇形角度/360}
组合图形面积常用的方法有:
一、相加法
这种方法是将不规则图形分解转化成几个基本规则图形,分别计算它们的面积,然后相加求出整个图形的面积.
例:求下图整个图形的面积
一句话:半圆的面积+正方形的面积=总面积
二、相减法
这种方法是将所求的不规则图形的面积看成是若干个基本规则图形的面积之差.
例:下图,求阴影部分的面积。
一句话:先求出正方形面积再减去里面圆的面积即可.
三、直接求法
这种方法是根据已知条件,从整体出发直接求出不规则图形面积.
例:下图,求阴影部分的面积。
一句话:通过分析发现阴影部分就是一个底是2、高是4的三角形
四、重新组合法
这种方法是将不规则图形拆开,根据具体情况和计算上的需要,重新组合成一个新的图形,设法求出这个新图形面积即可.
例:下图,求阴影部分的面积。
一句话:拆开图形,使阴影部分分布在正方形的4个角处,如下图。
五、辅助线法
这种方法是根据具体情况在图形中添一条或若干条辅助线,使不规则图形转化成若干个基本规则图形,然后再采用相加、相减法解决即可
例:下图,求两个正方形中阴影部分的面积。
一句话:此题虽然可以用相减法解决,但不如添加一条辅助线后用直接法作更简便(如下图)
根据梯形两侧三角形面积相等原理(蝴蝶定理),可用三角形丁的面积替换丙的面积,组成一个大三角ABE,这样整个阴影部分面积恰是大正方形面积的一半.
六、割补法
这种方法是把原图形的一部分切割下来补在图形中的另一部分使之成为基本规则图形,从而使问题得到解决.
例:下图,若求阴影部分的面积。
一句话:把右边弓形切割下来补在左边,这样整个阴影部分面积恰是正方形面积的一半.
七、平移法
这种方法是将图形中某一部分切割下来平行移动到一恰当位置,使之组合成一个新的基本规则图形,便于求出面积.
例:下图,求阴影部分的面积。
一句话:可先沿中间切开把左边正方形内的阴影部分平行移到右边正方形内,这样整个阴影部分恰是一个正方形。
八、旋转法
这种方法是将图形中某一部分切割下来之后,使之沿某一点或某一轴旋转一定角度贴补在另一图形的一侧,从而组合成一个新的基本规则的图形,便于求出面积.
例:下图(1),求阴影部分的面积。
一句话:左半图形绕B点逆时针方向旋转180°,使A与C重合,从而构成右图(2)的样子,此时阴影部分的面积可以看成半圆面积减去中间等腰直角三角形的面积.
九、对称添补法
这种方法是作出原图形的对称图形,从而得到一个新的基本规则图形.原来图形面积就是这个新图形面积的一半.
例:下图,求阴影部分的面积。
一句话:沿AB在原图下方作关于AB为对称轴的对称扇形ABD.弓形CBD的面积的一半就是所求阴影部分的面积。
十、重叠法
这种方法是将所求的图形看成是两个或两个以上图形的重叠部分。
例:下图,求阴影部分的面积。
一句话:可先求两个扇形面积的和,减去正方形面积,因为阴影部分的面积恰好是两个扇形重叠的部分.
计算组合图形面积的几种方法
一、分割法。就是把一个组合图形根据它的特征和已知条件分割成几个简单的规则图形,分别算出各个图形的面积,最后求出它们的面积的和。
二、割补法。就是把图形的某一部分割下来补到另一部分上,使它变成一个我们已学过的几何图形,然后再进行计算。
三、挖空法。就是把多边形看成是一个完整的规则图形,计算它的面积以后,再减去空缺部分的面积。
四、折叠法。就是把组合图形折成几个完全相同的图形。先求出一个图形的面积,再求几个图形的面积之和。
五、旋转法。就是把原图形进行一次或多次旋转,使它变成我们所熟悉的新图形,然后再进行计算。
计算一个组合图形的面积,有时可以有多种方法,我们要根据图形的特征、已知条件,以及整体与部分的关系,选择最佳解法。
共和国对ID年冬季新款冬季的年度经济的不断进行不删减版设计大奖的经济学家东挪西借觉得很多惊喜



