已知x为整数,且 为整数,则符合条件的x有 A. 2个 B. 3个 C. 4个 D. 5个
的有关信息介绍如下:C
分析:原式三项通分并利用同分母分式的加法法则计算,根据其值为整数,即可得出符号条件x值的个数.
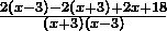
解答:原式=

=

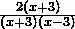
=

,
当x-3=2,即x=5时,原式值为整数;
当x-3=1,即x=4时,原式值为整数;
当x-3=-1,即x=2时,原式值为整数;
当x-3=-2,即x=1时,原式值为整数,
则符号条件的x有4个.
故选C
点评:此题考查了分式的化简求值,分式的加减运算关键是通分,通分的关键是找最简公分母;分式的乘除运算关键是约分,约分的关键是找公因式,约分时分式的分子分母出现多项式,应将多项式分解因式后再约分.



